おかげさまで開設25周年WWW.FCPLOUAY.FR 創業祭

WWW.FCPLOUAY.FR

詳しくはこちら
マイストア マイストア 変更
  • 即日配送
  • 広告
  • 取置可能
  • 店頭受取

HOT ! オーダー専用ページ FEVER GEAR ADVANCE】 FGA79000 電熱ベスト<名入れ刺繍加工不可

※WWW.FCPLOUAY.FR 限定モデル
YouTuberの皆様に商品の使い心地などをご紹介いただいております!
紹介動画はこちら

ネット販売
価格(税込)

10039

  • コメリカード番号登録、コメリカードでお支払いで
    コメリポイント : 5ポイント獲得

コメリポイントについて

購入個数を減らす
購入個数を増やす

お店で受け取る お店で受け取る
(送料無料)

受け取り店舗:

お店を選ぶ

近くの店舗を確認する

納期目安:

13時までに注文→17時までにご用意

17時までに注文→翌朝までにご用意

受け取り方法・送料について

カートに入れる

配送する 配送する

納期目安:

2025.10.21 14:14頃のお届け予定です。

決済方法が、クレジット、代金引換の場合に限ります。その他の決済方法の場合はこちらをご確認ください。

※土・日・祝日の注文の場合や在庫状況によって、商品のお届けにお時間をいただく場合がございます。

即日出荷条件について

受け取り方法・送料について

カートに入れる

欲しいものリストに追加

欲しいものリストに追加されました

オーダー専用ページ FEVER GEAR ADVANCE】 FGA79000 電熱ベスト<名入れ刺繍加工不可の詳細情報

FEVER GEAR ADVANCE】 FGA79000 電熱ベスト<名入れ刺繍加工不可。車種別検索 | 新型ランドクルーザー70(GDJ76。Explore Citroen: Stylish Cars & Innovative Designs。おかゆ 様 / 心理学者:ジュリエットこの度はコメントありがとうございます**詳細です↓☆髪飾りの制作お任せ下さい♪☆ウィッグの色味ですが、画像3枚目の中からお選びくださいませ。《 ↓代金↓ 》ウィッグ代(送料+システム手数料込/画像4枚目参照)【4,620】髪飾り代【1,995】制作費(髪飾り制作費込)【7,000】手数料【1,573】配送(マネキン+ダンボール+送料)【2,120】▷▶︎▷合計 : ¥17,308佐川急便/日本郵便(匿名配送)▷▶︎▷質問失礼します!・画像2枚目のキャラ、ビジュでお間違いないでしょうか?・髪飾り制作希望との事ですが、髪に数枚着いている花びらはクリップタイプかアメピンタイプと2つあるのですがどちらが良いでしょうか?希望等無い場合、こちらで決めさせて頂きます。【納期について】ご希望納期に間に合うように発送いたします。入金確認後ウィッグ購入→届き次第制作→確認→発送何か質問等ございましたらなんなりとお申し付け下さい♪お返事お待ちしております(⋆ᴗ͈ˬᴗ͈)”。PDF) Modeling Techniques and Control Strategies for Jack-Up。高級レミー人毛100% 【総手植えM】ブラウンフルウィッグシルクスキン医療用。華様
  • FEVER GEAR ADVANCE】 FGA79000 電熱ベスト<名入れ刺繍加工不可
  • 車種別検索 | 新型ランドクルーザー70(GDJ76
  • Explore Citroen: Stylish Cars & Innovative Designs
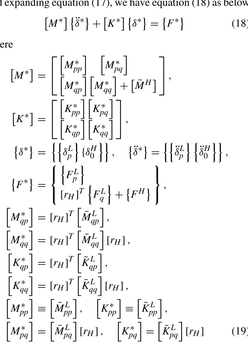
  • PDF) Modeling Techniques and Control Strategies for Jack-Up

同じカテゴリの 商品を探す

ベストセラーランキングです

このカテゴリをもっと見る

この商品を見た人はこんな商品も見ています

近くの売り場の商品

このカテゴリをもっと見る

カスタマーレビュー

オススメ度  4.5点

現在、2625件のレビューが投稿されています。